Newみんなの算数講座104 プリン 中学受験の算数知恵宝庫
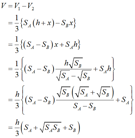
円錐台の体積を求める公式はあるようですが、 楕円錐台の体積を求める公式というのはあるのでしょうか? また仮に、上面と下面の楕円の面積がわかっているとすれば、 その公式はどV = 体積 A = 円錐面積 r = d/2 = 半径 三角錐 V = 体積 S = 角錐底面積 角錐 角錐 pyramid V = 体積 S = 角錐底面積 角錐台 V = 体積 (角錐台) S1 = 角錐底面積 S2 = 角錐上面積 球体 V = 体積 A = 球体
台形の面積の 求め 方 いろいろ
台形の面積の 求め 方 いろいろ- 公式の覚え方 中学校では次のような公式を習うかと思います。 円の半径を r r 、同じく球の半径を r r とすると、 円の面積は A= \pi r^2 A = πr2 円周は \ell = 2\pi r ℓ = 2πr 球の体積は三種類の公式 0:13 まずは立体の体積を求める公式を確認しましょう。 角柱・円柱 底面積 × 高さ 角錐・円錐 底面積 × 高さ × 1 3 球 4 3 × π × r 3 3 種類の公式を使い、いろいろな立
頭の体操 問題3 解答 Cometのサボテン栽培日記
まずは三角錐の体積を求める公式です。 こちらには非常に便利な公式が与えられています。 それは、 (三角錐の体積)= (底面積)× (高さ)×\style { colorred; まとめ:円錐の体積の求め方の公式はシンプル 円錐の体積の求め方はどうだったかな?? 底面積×高さ×1/3 という公式は意外とシンプルだったよね笑 最後に1/3をかけることさえ忘円錐の体積は, V = 1 3πr2h ( r :半径, h :高さ ) の公式で求めることができる. この公式は,円柱の体積の公式 V = πr2h に 1 3 をかけたものと考えることができるが,なぜ円柱の体積に 1
台形の体積(正四角錐台)の求め方の公式! ? 正四角錐台の下の1辺がa、上の辺がb、高さをhとしよう。 体積は、 1/3 h ( a^2 ab b^2) で計算できちゃうんだ。 つまり、 {(下の立体の体積&容積及び諸数値 立方体・直方体・円錐・角錐・球・円柱・六角柱・角柱 光正株式会社 役立つ資料シリーズ 立体の体積&容積および諸数値 V=容積、S=表面積、As=側面積、Ab=底 一般の錐体の場合 次に,底面積が S S S ,高さが h h h の一般の錐体 A A A の体積 V V V について考えます。 底面が一辺 2 h 2h 2 h の正方形であるような特殊な四角錐 B B B の体積は 1
台形の面積の 求め 方 いろいろのギャラリー
各画像をクリックすると、ダウンロードまたは拡大表示できます
Newみんなの算数講座104 プリン 中学受験の算数知恵宝庫 | Newみんなの算数講座104 プリン 中学受験の算数知恵宝庫 | ![]() Newみんなの算数講座104 プリン 中学受験の算数知恵宝庫 |
![]() Newみんなの算数講座104 プリン 中学受験の算数知恵宝庫 | ![]() Newみんなの算数講座104 プリン 中学受験の算数知恵宝庫 | Newみんなの算数講座104 プリン 中学受験の算数知恵宝庫 |
Newみんなの算数講座104 プリン 中学受験の算数知恵宝庫 | Newみんなの算数講座104 プリン 中学受験の算数知恵宝庫 | ![]() Newみんなの算数講座104 プリン 中学受験の算数知恵宝庫 |
「台形の面積の 求め 方 いろいろ」の画像ギャラリー、詳細は各画像をクリックしてください。
![]() Newみんなの算数講座104 プリン 中学受験の算数知恵宝庫 | Newみんなの算数講座104 プリン 中学受験の算数知恵宝庫 | Newみんなの算数講座104 プリン 中学受験の算数知恵宝庫 |
Newみんなの算数講座104 プリン 中学受験の算数知恵宝庫 | Newみんなの算数講座104 プリン 中学受験の算数知恵宝庫 | ![]() Newみんなの算数講座104 プリン 中学受験の算数知恵宝庫 |
Newみんなの算数講座104 プリン 中学受験の算数知恵宝庫 | Newみんなの算数講座104 プリン 中学受験の算数知恵宝庫 | ![]() Newみんなの算数講座104 プリン 中学受験の算数知恵宝庫 |
「台形の面積の 求め 方 いろいろ」の画像ギャラリー、詳細は各画像をクリックしてください。
Newみんなの算数講座104 プリン 中学受験の算数知恵宝庫 | ![]() Newみんなの算数講座104 プリン 中学受験の算数知恵宝庫 | ![]() Newみんなの算数講座104 プリン 中学受験の算数知恵宝庫 |
![]() Newみんなの算数講座104 プリン 中学受験の算数知恵宝庫 | Newみんなの算数講座104 プリン 中学受験の算数知恵宝庫 | Newみんなの算数講座104 プリン 中学受験の算数知恵宝庫 |
![]() Newみんなの算数講座104 プリン 中学受験の算数知恵宝庫 | ![]() Newみんなの算数講座104 プリン 中学受験の算数知恵宝庫 | ![]() Newみんなの算数講座104 プリン 中学受験の算数知恵宝庫 |
「台形の面積の 求め 方 いろいろ」の画像ギャラリー、詳細は各画像をクリックしてください。
![]() Newみんなの算数講座104 プリン 中学受験の算数知恵宝庫 | Newみんなの算数講座104 プリン 中学受験の算数知恵宝庫 | ![]() Newみんなの算数講座104 プリン 中学受験の算数知恵宝庫 |
Newみんなの算数講座104 プリン 中学受験の算数知恵宝庫 | ![]() Newみんなの算数講座104 プリン 中学受験の算数知恵宝庫 | Newみんなの算数講座104 プリン 中学受験の算数知恵宝庫 |
![]() Newみんなの算数講座104 プリン 中学受験の算数知恵宝庫 | ![]() Newみんなの算数講座104 プリン 中学受験の算数知恵宝庫 | ![]() Newみんなの算数講座104 プリン 中学受験の算数知恵宝庫 |
「台形の面積の 求め 方 いろいろ」の画像ギャラリー、詳細は各画像をクリックしてください。
Newみんなの算数講座104 プリン 中学受験の算数知恵宝庫 | Newみんなの算数講座104 プリン 中学受験の算数知恵宝庫 | ![]() Newみんなの算数講座104 プリン 中学受験の算数知恵宝庫 |
![]() Newみんなの算数講座104 プリン 中学受験の算数知恵宝庫 | ![]() Newみんなの算数講座104 プリン 中学受験の算数知恵宝庫 | ![]() Newみんなの算数講座104 プリン 中学受験の算数知恵宝庫 |
![]() Newみんなの算数講座104 プリン 中学受験の算数知恵宝庫 | Newみんなの算数講座104 プリン 中学受験の算数知恵宝庫 | Newみんなの算数講座104 プリン 中学受験の算数知恵宝庫 |
「台形の面積の 求め 方 いろいろ」の画像ギャラリー、詳細は各画像をクリックしてください。
![]() Newみんなの算数講座104 プリン 中学受験の算数知恵宝庫 | ![]() Newみんなの算数講座104 プリン 中学受験の算数知恵宝庫 | ![]() Newみんなの算数講座104 プリン 中学受験の算数知恵宝庫 |
Newみんなの算数講座104 プリン 中学受験の算数知恵宝庫 | ![]() Newみんなの算数講座104 プリン 中学受験の算数知恵宝庫 | ![]() Newみんなの算数講座104 プリン 中学受験の算数知恵宝庫 |
![]() Newみんなの算数講座104 プリン 中学受験の算数知恵宝庫 | Newみんなの算数講座104 プリン 中学受験の算数知恵宝庫 | ![]() Newみんなの算数講座104 プリン 中学受験の算数知恵宝庫 |
「台形の面積の 求め 方 いろいろ」の画像ギャラリー、詳細は各画像をクリックしてください。
![]() Newみんなの算数講座104 プリン 中学受験の算数知恵宝庫 | ![]() Newみんなの算数講座104 プリン 中学受験の算数知恵宝庫 | ![]() Newみんなの算数講座104 プリン 中学受験の算数知恵宝庫 |
![]() Newみんなの算数講座104 プリン 中学受験の算数知恵宝庫 | ![]() Newみんなの算数講座104 プリン 中学受験の算数知恵宝庫 | ![]() Newみんなの算数講座104 プリン 中学受験の算数知恵宝庫 |
![]() Newみんなの算数講座104 プリン 中学受験の算数知恵宝庫 | ![]() Newみんなの算数講座104 プリン 中学受験の算数知恵宝庫 | ![]() Newみんなの算数講座104 プリン 中学受験の算数知恵宝庫 |
「台形の面積の 求め 方 いろいろ」の画像ギャラリー、詳細は各画像をクリックしてください。
![]() Newみんなの算数講座104 プリン 中学受験の算数知恵宝庫 | ![]() Newみんなの算数講座104 プリン 中学受験の算数知恵宝庫 | Newみんなの算数講座104 プリン 中学受験の算数知恵宝庫 |
Newみんなの算数講座104 プリン 中学受験の算数知恵宝庫 | ![]() Newみんなの算数講座104 プリン 中学受験の算数知恵宝庫 | ![]() Newみんなの算数講座104 プリン 中学受験の算数知恵宝庫 |
![]() Newみんなの算数講座104 プリン 中学受験の算数知恵宝庫 | Newみんなの算数講座104 プリン 中学受験の算数知恵宝庫 | Newみんなの算数講座104 プリン 中学受験の算数知恵宝庫 |
「台形の面積の 求め 方 いろいろ」の画像ギャラリー、詳細は各画像をクリックしてください。
![]() Newみんなの算数講座104 プリン 中学受験の算数知恵宝庫 | Newみんなの算数講座104 プリン 中学受験の算数知恵宝庫 | Newみんなの算数講座104 プリン 中学受験の算数知恵宝庫 |
![]() Newみんなの算数講座104 プリン 中学受験の算数知恵宝庫 | ![]() Newみんなの算数講座104 プリン 中学受験の算数知恵宝庫 | Newみんなの算数講座104 プリン 中学受験の算数知恵宝庫 |
![]() Newみんなの算数講座104 プリン 中学受験の算数知恵宝庫 | Newみんなの算数講座104 プリン 中学受験の算数知恵宝庫 | ![]() Newみんなの算数講座104 プリン 中学受験の算数知恵宝庫 |
「台形の面積の 求め 方 いろいろ」の画像ギャラリー、詳細は各画像をクリックしてください。
![]() Newみんなの算数講座104 プリン 中学受験の算数知恵宝庫 | Newみんなの算数講座104 プリン 中学受験の算数知恵宝庫 | ![]() Newみんなの算数講座104 プリン 中学受験の算数知恵宝庫 |
Newみんなの算数講座104 プリン 中学受験の算数知恵宝庫 | ![]() Newみんなの算数講座104 プリン 中学受験の算数知恵宝庫 | Newみんなの算数講座104 プリン 中学受験の算数知恵宝庫 |
Newみんなの算数講座104 プリン 中学受験の算数知恵宝庫 | Newみんなの算数講座104 プリン 中学受験の算数知恵宝庫 | ![]() Newみんなの算数講座104 プリン 中学受験の算数知恵宝庫 |
「台形の面積の 求め 方 いろいろ」の画像ギャラリー、詳細は各画像をクリックしてください。
![]() Newみんなの算数講座104 プリン 中学受験の算数知恵宝庫 | ![]() Newみんなの算数講座104 プリン 中学受験の算数知恵宝庫 | ![]() Newみんなの算数講座104 プリン 中学受験の算数知恵宝庫 |
Newみんなの算数講座104 プリン 中学受験の算数知恵宝庫 | ![]() Newみんなの算数講座104 プリン 中学受験の算数知恵宝庫 | ![]() Newみんなの算数講座104 プリン 中学受験の算数知恵宝庫 |
![]() Newみんなの算数講座104 プリン 中学受験の算数知恵宝庫 | ![]() Newみんなの算数講座104 プリン 中学受験の算数知恵宝庫 | ![]() Newみんなの算数講座104 プリン 中学受験の算数知恵宝庫 |
「台形の面積の 求め 方 いろいろ」の画像ギャラリー、詳細は各画像をクリックしてください。
![]() Newみんなの算数講座104 プリン 中学受験の算数知恵宝庫 | ![]() Newみんなの算数講座104 プリン 中学受験の算数知恵宝庫 | ![]() Newみんなの算数講座104 プリン 中学受験の算数知恵宝庫 |
![]() Newみんなの算数講座104 プリン 中学受験の算数知恵宝庫 | Newみんなの算数講座104 プリン 中学受験の算数知恵宝庫 |
Rope1a品名コード 商品名 据置台型式名 rope1a重量(kg) 65kg梱包縦寸法 570梱包横寸法 3梱包幅寸法 545体積(m3) 01m3販売開始日 ROP E1A 《KJK》 リ円錐の体積が となることは学校で習うが,円錐台は教えないのかな? 上の面の半径を, 下の面の半径を, 高さを とすれば,円錐台の体積は, となる。子供の頃に通った塾で教わったと思うが,昨
Incoming Term: 円錐 体積 3分の1 理由 小学生, 中1 数学 体積 表面積 公式 pdf, 中1 数学 円錐 表面積の求め方, 球の体積 表面積 公式 覚え方, 面積 体積 公式 一覧 小学生, 球 円柱 共通部分 体積 重積分, 角錐 体積 3分の1 理由 小学生, 台形の面積の 求め 方 いろいろ,




































































0 件のコメント:
コメントを投稿